NatureU 獨家專利MASTER多級緩釋技術
什麼是MASTER多級緩釋技術
MASTER (Multistage Adaptive Sustained-Releas Technology Platform)是中美雙專利的一種多級智慧控釋技術:包括濃縮、導入、定位、缓釋及協同等五大功能,将天然抗衰老精華成份人體利用度全效發揮,比單一成分高效達10倍!
首創式利用人工智能的算法平台進行材料篩選
利用大語言模型和神經網絡知識圖譜的創新型人工智能算法平台深度挖掘美國FDA推薦的公認安全的食品級輔料。
2個技術層次:高分子微球&胃黏附片劑
胃黏附片劑,如同航空母艦,精准地抵達最容易吸收營養分子地場所,長期停留在那裡高分子微球從胃黏附片劑從釋放,如同戰鬥機從航母上起飛
功能性食物分子中的營養物質靶向轉化
高分子微球釋放功能性食物分子,使其在目標部位快速被吸收,如同戰鬥機精准打擊不浪費營養物質的消耗和代謝,精准轉化為健康能量
獨家專利MASTER多級緩釋技術作用機制

提高生物利用度,延長體內半衰期

使得功能性食物分子8-12小時持續穩定起效,5-10倍強於普通功能性食物分子
NatureU 睡眠改善 Deep Sleep 眠
本產品專為睡眠質量問題而設,國際化專利技術讓營養成分充分發揮,助你快速入睡。服用後每晚享受多達6-8小時深度睡眠,同時改善長期壓力造成的情緒、勞累與淺眠問題,提升整體睡眠體驗,調理生理作息。
核心成分GABA(γ-氨基丁酸)
GABA(γ-氨基丁酸)是一種非常重要的神經遞質,它在人體內扮演著重要的角色。GABA 主要在大腦中發揮作用,是中樞神經系統中最主要的抑制性神經遞質。研究表明,GABA 參與調節焦慮和情緒狀態。GABA 能增強大腦中的抑制信號,有助於減輕焦慮感和緊張情緒[ Atsushi Yamatsu, Yusuke Yamashita, Effect of Oral γ-aminobutyric Acid (GABA) Administration on Sleep and its Absorption in Humans, Food Sci. Biotechnol. 25(2): 547-551 (2016)]。(圖 1)
然而,GABA 是一種在人體內自然分泌的神經遞質。它在體內有成熟的代謝機制。當外源性 GABA 進入體內時,大多在 30 分鐘至 1 小時內代謝。普通的 GABA 補充劑無法在整個夜間提供穩定的 GABA 補充。透過 MASTER 技術,普通的 GABA 可以在體內實現持續釋放,確保在整個夜間穩定供應 GABA(圖 2)。這種持續釋放機制提高了整體睡眠質量並減少夜間覺醒。
另一種可以緩解壓力並具有鎮靜作用的成分是酪蛋白水解物,其中包含作用於 GABA 受體的 Alpha-casozepine。它可以透過降低皮質醇和血壓有效地緩解壓力,並改善由壓力引起的焦慮和睡眠障礙等症狀 1。(圖 3)
然而,酪蛋白水解物是一種蛋白質物質。在口服稀釋過程中,由於胃酸等消化液成分的影響,其在血液中的生物利用度不高。MASTER 技術可以顯著提高酪蛋白水解物在體內的生物利用度,從而降低血液中的類固醇水平(圖 4)

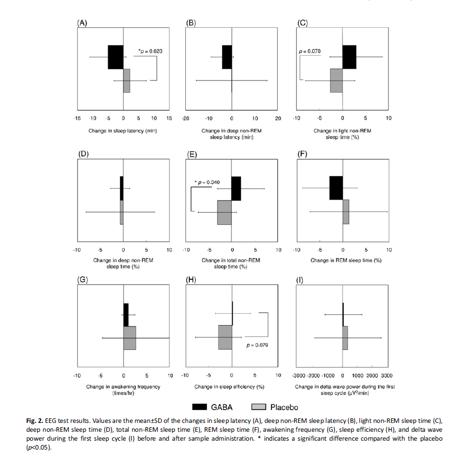
圖 1:Electroencephalogram (EEG) 測試結果。數值代表 GABA 給予前後第一次睡眠週期中的睡眠潛伏期(A)、深度非快速眼動(非 REM)睡眠潛伏期(B)、淺非快速眼動睡眠時間(C)、深度非快速眼動睡眠時間(D)、總非快速眼動睡眠時間(E)、快速眼動(REM)睡眠時間(F)、覺醒頻率(G)、睡眠效率(H)和三角波功率的變化(I)的平均值 ± 標準偏差。* 表示與安慰劑組相比有顯著差異(p < 0.05)

圖2. 口服 MASTER 緩釋 GABA 和普通 GABA 後 30 分鐘、1 小時、3 小時和 6 小時血液中的 GABA 濃度


圖3. 一項對 32 名睡眠不佳(PSQI 評分大於 4)患者的研究表明,酪蛋白水解物在使用兩週後透過降低壓力顯著改善了睡眠質量,並在使用四周後縮短了睡眠潛伏期和白天功能障礙。


圖 4:在口服稀釋過程中,由於胃酸等消化液成分的影響,其在血液中的生物利用度不高。MASTER 技術可以顯著提高酪蛋白水解物在體內的生物利用度,從而降低血液中的類固醇水平
NatureU 解酒護肝 Cheers Friends 酔友
新西蘭100%純天然解酒良方!科學配比營養成分緩解宿醉症狀,同時強化肝臟排毒,告別酒後難受的症狀。解酒護肝二合一,盡情暢飲無有怕。
科學研究表明,導致宿醉的主要成分是乙醛,雖然乙醇本身也起一定作用。乙醛是乙醇代謝的首要產物,具有強毒性,也是人類宿醉症狀的主要原因。人體內乙醛的代謝主要依賴體內的乙醛脫氫酶將其氧化為乙酸 2。(圖 1)
為緩解飲酒引起的宿醉症狀,最直接的方法是加速體內乙醛的代謝。科學研究表明,厚朴酚,即厚朴提取物的一種成分,能直接且穩定地與 ALDH2(乙醛脫氫酶 2)結合。這種結合以劑量依賴的方式增強 ALDH2 活性,而不改變蛋白質表達,證實厚朴酚可作為天然的 ALDH2 激動劑。(圖 2、3)
除了能增加乙醛脫氫酶活性的厚朴酚外,NatureU 醉友還含有用高分子量脂質體修飾的薑黃。薑黃素是一種具有強抗氧化能力的天然植物成分。然而,普通薑黃素的水溶性低,影響其在人體內的吸收。NatureU 採用經 MASTER 技術優化的薑黃素,可顯著增加薑黃素的水溶性。(圖 4)

圖 1 人體內乙醛的代謝主要依賴體內的乙醛脫氫酶將其氧化為乙酸 2。

圖 2 厚朴(Mag)直接靶向 ALDH2。ALDH2 - Mag 複合物中 Mag 的三維晶體結構。Mag 以綠色表示,氫鍵以紅線表示。(B)ALDH2 - Mag 複合物中 Mag 的二維晶體結構。

圖 3 厚朴木蘭治療直接增加 ALDH2 酶活性。(A)心臟成纖維細胞(CF)與所示劑量(5、10 和 20 μM)的厚朴孵育 24 小時。ALDH2 活性在 340nm 處通過 ELISA 測量。(B)CF 與所示劑量(5、10 和 20 μM)的厚朴孵育 24 小時,然後進行 Western blotting 以檢測 ALDH2 的表達。(C)重組人 ALDH2 用所示劑量的厚朴(1、10、20、40、80、100、200、300 和 400 μM)稀釋 1 小時,然後測量 ALDH2 活性。

圖 4 NatureU 採用經 MASTER 技術優化的薑黃素,可顯著增加薑黃素的水溶性。A. 普通薑黃素,B. 經 MASTER 技術優化的薑黃素,水溶解後二者的比較
NatureU 燃脂塑身 Burn 燃
本產品百分百天然成分,獲多項臨床實驗,在正常飲食習慣下餐前1粒,改善瘦素抵抗,提升4小時飽腹感,控制食量,養成易瘦體質。
核心成分:高分子芒果籽
非洲芒果樹(學名:Irvingia gabonensis,英文名:African Mango)是葫蘆科的常綠喬木。它主要分佈在中非和西非以及印度等熱帶潮濕地區,在灌木叢林中自然生長。非洲芒果樹結出綠色至黃色的芒果狀果實,果實和種子被用作食物。在整個非洲,它長期以來一直被用作減肥草藥。最近的研究表明,非洲芒果樹種子提取物通過改善人體內的瘦素抵抗,對減肥和代謝綜合徵有效。(圖 1)
基於普通芒果籽,NatureU 產品使用 MASTER 技術提高芒果籽提取物在體內的生物利用度,從而使血液中脂聯素的含量數倍增加。脂聯素通過增加肌肉和肝臟中的胰島素敏感性間接影響瘦素的代謝,讓瘦素進入大腦並產生飽腹感。

圖1 研究表明芒果籽可以幫助超重人群控制體重研究表明,非洲芒果樹種子提取物通過改善人體內的瘦素抵抗,對減肥和代謝綜合徵有效。

圖2 MASTER 技術改良的芒果籽能顯著增加血液中脂聯素的含量。從而使血液中脂聯素的含量數倍增加。脂聯素通過增加肌肉和肝臟中的胰島素敏感性間接影響瘦素的代謝,讓瘦素進入大腦並產生飽腹感
NatureU 男士活力 Mojomax 勁
這款強大的補充劑是您由內而外提升身体素质。服用后可重獲精力充沛之態,全方位提升體力與耐力,亦可促進新陳代謝,消除疲勞與壓力。
以 NatureU MojoMax 能量補充劑重振您的身心,擁抱這款變革性的健康常規添加品,體驗全新水準的身体表現和能量。經臨床研究證實,有效提升身體機能,增添生活樂趣,延緩衰老。
NatureU MojoMax勁的主要成分來自松樹皮(Pinus spp.)提取物和 L -瓜氨酸。松樹皮提取物可以調節一氧化氮的產生,這也與其治療陽痿的機制有關。NO 刺激鳥苷酸環化酶的形成,在平滑肌細胞放鬆和導致陰莖勃起中起作用。L -瓜氨酸是一種非蛋白質氨基酸。在體內,瓜氨酸會轉化為 L -精氨酸,進而增加一氧化氮(NO)的量,幫助血管擴張,並讓工作中的肌肉吸收更多氧氣和營養,克服勃起功能障礙 1。一項發表在《性與婚姻療法雜誌》上的研究探索了通過增加內源性一氧化氮(NO)的量來克服勃起功能障礙(ED)的可能性。在該研究中,40 名年齡在 25 至 45 歲之間的男性口服松樹皮提取物與 L -精氨酸的組合長達三個月。結果表明,在使用 L -精氨酸治療一個月後,有 2 名患者(5%)恢復了正常的勃起功能。在接下來的一個月中,L -精氨酸和松樹皮提取物的組合使恢復性能力的男性人數增加到 80%。最後,在治療的第三個月後,92.5%的男性有正常的勃起。該研究證實,口服松樹皮提取物可以顯著改善患有 ED 的男性的性功能,且沒有任何副作用。(表 1)

表 1. 40 名患者在單獨使用 L -精氨酸(1 個月)治療前後以及在與 L -精氨酸和松樹皮提取物聯合治療的第二和第三個月勃起功能障礙的臨床變化。

圖 1. 在 PYC 干預期間糖尿病和非糖尿病組的 IIEF - 5 評分(中位數)(%)。DM - 糖尿病患者,NDM - 非糖尿病患者,IIEF - 5 - 國際勃起功能指數,PYC - 松樹皮提取物。

L -瓜氨酸是人體內精氨酸的前體。傳統 L -瓜氨酸在體內的生物利用度有限。經 NatureU 的 MASTER 技術改良後,口服相同劑量的 L -瓜氨酸(3.6 克/天)時,體內精氨酸的含量是傳統 L -瓜氨酸的兩倍(圖 2)